Недавно исследовательская группа из Западно-китайской больницы Сычуаньского университета провела углубленный анализ данных Национального обследования здоровья и питания (NHANES) с 2009 по 2018 год, в котором приняли участие 19 280 человек. Результаты показали, что каротиноиды оказывают значительное влияние на замедление ускорения фенотипического старения, причем особенно заметными являются β-каротин и β-криптоксантин. Это указывает на то, что эти природные пигменты имеют большой потенциал в области борьбы со старением.

Каротиноиды-это натуральные жирорастворимые пигменты, широко встречающиеся в водорослях, грибах, бактериях и растениях. Было выявлено более 700 природных каротиноидов. Основываясь на их химической структуре, каротиноиды можно разделить на две категории: одна содержит только углерод и водородные элементы без кислорода (например, α-каротин, β-каротин и ликопин), а другая состоит из их окисленных производных, содержащих кислородные функциональные группы, такие как гидроксил, кето, карбоксильный, и метокси групп (Например, лютеин и зеаксантин). Среди каротиноидов, циркулирующих в крови человека, шесть типов-α-каротин, β-каротин, β-криптоксантин, ликопин, лютеин и зеаксантин-составляют более 95%.
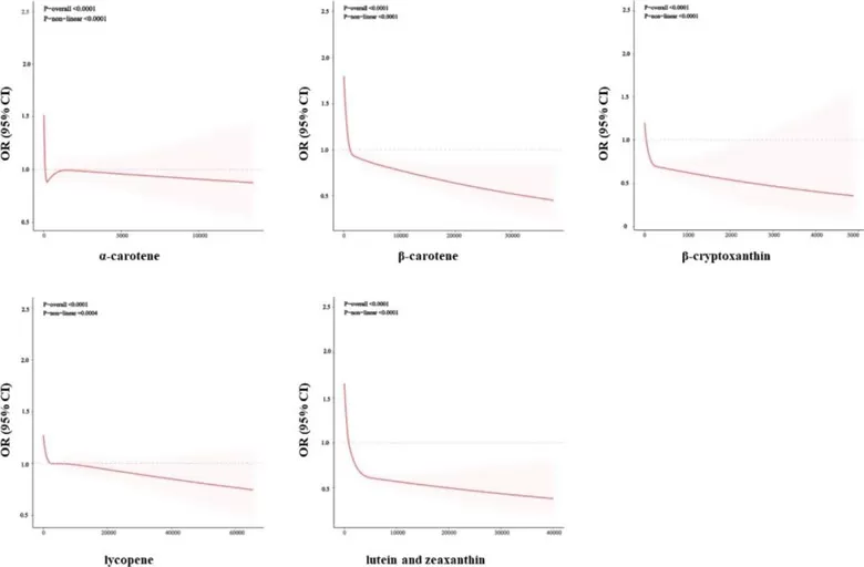
Исследование, основанное на данных Национального обследования здоровья и питания (NHANES), изучало связь между потреблением каротиноидов с пищей и биологическим процессом старения. Исследование получило уровни потребления каротиноидов путем анализа диетических данных и оценки биологического возраста с использованием методов PhenoAge и Klemera-Doubal (KDM).
Результаты показали, что более высокие диетические уровни каротиноидов были значительно связаны с более медленной скоростью биологического старения, предполагая, что каротиноиды имеют потенциальные антивозрастные эффекты. Дальнейший анализ выявил значительную нелинейную связь между уровнями каротиноидов и ускорением биологического возраста, что указывает на то, что их защитный эффект усиливается при более высоких уровнях потребления.

Результаты исследований показывают, что β-каротин и β-криптоксантин имеют особенно значительные эффекты в борьбе со старением. Кроме того, антивозрастные эффекты каротиноидов различаются среди разных групп населения. В частности, молодые люди (до 60 лет), женщины, пациенты с гипертонией и пациенты с диабетом получают более значительную пользу от высокого уровня потребления каротиноидов, что помогает замедлить процесс биологического старения.

Старение-сложный биологический процесс, характеризующийся постепенным снижением физиологических функций и повышенной восприимчивостью к болезням. Окислительный стресс и воспаление являются ключевыми факторами, стимулирующими процесс старения. Каротиноиды, благодаря своей молекулярной структуре, содержащей многочисленные конъюгированные двойные связи, обладают сильными антиоксидантными свойствами. Они могут эффективно нейтрализовать свободные радикалы и уменьшить воспаление, тем самым устраняя активные формы кислорода (АФК), такие как перекисные радикалы и синглетный кислород в организме, играя решающую роль в содействии здоровому старению.
Антивозрастной потенциал каротиноидов в первую очередь основан на их способности способствовать транслокации ядерного фактора эритроида 2, связанного с фактором 2 (Nrf2), в c.Ядро элла. Как только Nrf2 перемещается в ядро, он инициирует транскрипцию антиоксидантных и детоксикационных ферментов. Кроме того, по мере деления клеток их теломеры постепенно сокращаются до тех пор, пока не произойдет гибель клеток, а АФК и воспаление ускоряют это укорочение теломер. Было сообщено что высокое диетическое потребление β-каротина связано с более длинной длиной теломер.
Каротиноиды, благодаря своей сильной красильной способности и стабильным оттенкам, широко используются в различных областях, таких как красители для напитков, конфет и других продуктов питания, а также в качестве пищевых добавок в детском питании. Каротиноиды не только обладают активностью витамина А, но и способствуют здоровью сердечно-сосудистой системы и кожи. Они играют важную роль в физиологической регуляции и профилактике заболеваний в организме человека.
Каротиноиды помогают защитить сердечно-сосудистое здоровье, ингибируя окисление липопротеинов низкой плотности (ЛПНП), предотвращая развитие атеросклероза и защищая сосудистые клетки от окислительного повреждения, тем самым поддерживая сосудистую функцию. Среди них ликопин и лютеин имеют значительные преимущества в этом отношении. Мета-анализ показал, что люди с диетическим потреблением ликопина имели 17% снижение риска сердечно-сосудистых заболеваний. Эффект лютеина в 15 раз выше, чем у ликопина, и в 10 раз выше, чем у β-каротина, эффективно предотвращая перекисное окисление липидов.
Фотостарение в первую очередь вызвано факторами окружающей среды и проявляется в снижении эластичности кожи, аномальной пигментации, сухости и зуда. Ультрафиолетовое (УФ) излучение является ключевым триггером, ускоряющим старение кожи, способствуя генерации активных форм кислорода (АФК), которые нарушают защитные и восстановительные функции кожи. Исследования показали, что добавление каротиноидов может эффективно предотвращать образование АФК, вызванное УФ-излучением. Например, астаксантин улучшает здоровье кожи и оказывает анти-фотостарение эффекты путем ингибирования окислительного повреждения. Он может подавлять синтез меланина, уменьшать пигментацию, увеличивать влажность кожи и улучшать сухость кожи. Исследования показывают, что пероральный прием астаксантина может уменьшить возрастные пятна и морщины, а также улучшить гидратацию и эластичность кожи. Кроме того, астаксантин может уменьшить УФ-индуцированное повреждение кожи, уменьшить потерю влаги и сыпь, а также защитить здоровье кожи.
Диетическое потребление каротиноидов считается фундаментальной стратегией для предотвращения неалкогольной жировой болезни печени (НАЖБП). Ликопин проявляет гепатопротекторные свойства против различных заболеваний печени, в том числе алкогольной и неалкогольной жировой болезни печени. Защитные эффекты ликопина в первую очередь связаны с его сильными антиоксидантными возможностями, которые эффективно ингибируют повреждение клеток, вызванное активными видами кислорода (АФК). Кроме того, исследования показали, что β-каротин, один из самых распространенных каротиноидов в печени, демонстрирует значительные гепатопротекторные эффекты. Увеличение потребления с пищей β-каротина может значительно снизить риск стеатоза печени и повреждения клеток печени свободными радикалами.
Возрастная макулярная дегенерация (ВМД) является распространенным заболеванием, ухудшающим зрение, в основном вызванным дегенеративным повреждением фоторецепторов у зрелых людей. Она стала основной причиной слепоты у людей старше 65 лет. Прогнозируется, что к 2040 году распространенность ВМД в мире возрастет почти до 288 миллионов человек [6].
Ранние проявления ВМД включают снижение зрения, снижение контрастной чувствительности и снижение остроты зрения, характеризующиеся постепенным снижением функционального зрения по мере прогрессирования состояния. Каротиноиды играют решающую роль в поддержании здоровья и функции макулярной области. Среди различных каротиноидов было показано, что лютеин и зеаксантин пересекают гемато-сетчаточный барьер и накапливаются в сетчатке, образуя макулярный пигмент, процесс, необходимый для защиты желтого пятна.
Кроме того, считается, что астаксантин, член семейства лютеинов, в основном встречающийся в морских организмах, обладает потенциальным защитным действием против вызванных светом повреждений сетчатки и дисфункции. Благодаря своей уникальной молекулярной структуре астаксантин может проходить через двухслойную мембрану клеток, эффективно удаляя активные формы кислорода как во внутреннем, так и во внешнем слоях клеток, тем самым обеспечивая защитный механизм сетчатки от окислительного стресса.
Ссылка:
[1] https://link.springer.com/article/10.1007/s10522-024-10160-4
[2] https://www.mdpi.com/1422-0067/24/20/15199
[3] https://pubmed.ncbi.nlm.nih.gov/28318092/
[4] https://pubmed.ncbi.nlm.nih.gov/31605782/
[5] https://pubmed.ncbi.nlm.nih.gov/31904420/
[6] https:// pUbmed.ncbi.nlm.nih.gov/34829613/
Источник изображения: pixabay, ссылки: https://pixabay.com/zh/photos/smoothie-fruit-vegetables-1578240/